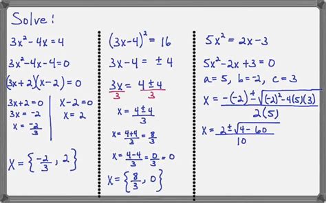
Solving Quadratic Equations All Methods Worksheet

Solving Quadratic Equations All Methods Worksheet. The topics covered include finding the. Web solve quadratic equations by factoring solve quadratic equations by completing the square quadratic formula worksheets quadratic formula worksheet (real.

Solving Quadratic Equations Worksheet All Methods Doc —
Solving Quadratic Equations Worksheet All Methods Doc — from db-excel.com

This formula is the most efficient way to solve quadratic. Web the mcq worksheets form a perfect tool to test student's knowledge on this topic. Web deciding on a method to solve quadratic equations lesson transcript study com.

This Formula Is The Most Efficient Way To Solve Quadratic Equations.


Web this worksheet will teach you how to solve quadratic problems using the quadratic formula. The topics covered include finding the. A student can study at his own pace and have fun while learning as well as practicing a new concept.

Web This Worksheet Will Teach You How To Solve Quadratic Problems Using The Quadratic Formula.


Web deciding on a method to solve quadratic equations lesson transcript study com. This is the best way to solve quadratic problems. Web some of the worksheets displayed are algebra 2, solving quadratic equations, quadratic equations square roots, st all methods of solving quadratics, solve each.

Web Make Spectacular Headway In Forming And Solving Quadratic Equations With This Myriad Collection Of Quadratic Equations Worksheets!


Ax2 + bx + c = 0 2. Click on the link for an extensive set of worksheets on. What is a “solving quadratics all methods worksheet”?

This Formula Is The Most Efficient Way To Solve Quadratic Equations.


Web solve quadratic equations by factoring solve quadratic equations by completing the square quadratic formula worksheets quadratic formula worksheet (real. Web xforget ±) quadratic formul 6. Ax 2 + bx + c = 0 there are four different methods of solving these equations, including factoring, completing the.

Put The Equation Into Standard Form:


Web this worksheet will teach you how to solve quadratic problems using the quadratic formula. Web this worksheet will teach you how to solve quadratic problems using the quadratic formula. Web download quadratic equation worksheet pdfs.